一般我们可从以下几个物理化学指标评定再生活性炭性能:①装填密度(bulk density)②表观密度(apparent density)③孔结构(孔径孔容)④碘吸附值(碘值)⑤亚甲基蓝吸附值(亚蓝值)。
其中①装填密度往往在再生现场即可直接测定,而②~⑤等参数通常只能在实验室里进行。图4-17、图4-18显示再生损失和再生时间和再生温度的关系。

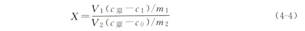
活性炭的再生效果还可用再生炭的吸附容量和新炭吸附容量的比值来表示。以X表示再生效率,以c表示溶液浓度,计算式如下:

式中,C原为溶液原始浓度;C0为新活性炭处理溶液后的剩余浓度;C1为再生活性炭处理后的溶液剩余浓度;V1和V2分别为再生炭吸附溶液体积和新炭吸附溶液体积;m1和m2分别为再生炭和新炭的使用量。值得注意的是为使测试结果准确,应尽量保证单位体积废水所使用的活性炭量相同。
活性炭的吸附能力曾经作为评价再生效率的主要指标。但由于反复的再生处理将影响活性炭的机械强度,其氧化程度也将逐渐加深,因此当再生炭重新投入使用时都还需对这些性能指标进行测试。所以应综合考虑包括以上各项在内的总体效果来评定再生活性炭的再生效果,而不能只考虑吸附能力的恢复。表4-5列出了流动床再生炉和内热式移动床再生炉对活性炭再生处理的结果。